Evinrude 40 viritystä

Re: Evinrude 40 viritystä

ViestiKirjoittaja transom » 29.08.2021 14:02

Hyvä kun toimii.

Noita vaan pitää uskaltaa säätää ja kokeilla. En tiedä ketään, joka olisi saanut tyhjäkäyntiä säätämällä koneen rikki. Huonosti toimivaksi kyllä saa, mutta ne saa taas kuntoon uudelleen säätämällä. Eri juttu, kun säädetään ("viritetään") huippukierroksia ja seossuuttimia siellä. Suurin riski näissä moottoreissa on kuitenkin toimimaton kaasari, eli kierroksilla ei saa yhteen pyttyyn bensaa ja sitä kautta ei myöskään voitelevaa öljyä. Samalla seos menee niin laihaksi, että alkaa sisuskalut sulaa ja kansi vääntyä.

Vanhoilla OMC koneissa 1970-luvun alussa oli vielä tyhjäkäynnin seoksen ja kierrosluvun säätönupit moottorin kopan etuseinässä. Eli niitä pystyi (ja myös joutui) säätämään, jos olosuhteet muuttuivat merkittävästi. Perinteiset kaksitahdit on suunniteltu ensisijaisesti kierroksilla ajettavaksi, eikä tyhjäkäynnillä pitkään ajettaviksi. Eli ajatus oli, että kylmä moottori käyntiin ryypyllä ja kun lämpeni vähän, niin sitten vaihde päälle, kierrokset ylös ja liikenteeseen.

Isommilla kaasareilla lisäksi voi olla hiukan vaikeampi saada tyhjäkäynti hyväksi, koska sama ilmavirtamäärä isommassa putkessa tarkoittaa hitaampaa virtausta. Huippukierroksilla taas se poistaa kuristusta, parantaa sylinterin täyttöä eli on hyödyllinen kunhan ei mene liian suureksi, että silloin sielläkin seoksen säätäminen vaikeutuu. Itse kaasari kun ei anna tehoa vaan oikea määrä ilmaa ja bensaa.
Ihan se sama transom kuin moottorivene.infossa. Valitettavasti.
transom
 
Viestit: 170
Liittynyt: 04.04.2018 00:08

Re: Evinrude 40 viritystä

ViestiKirjoittaja Juho » 24.10.2021 18:19

No niin.Vaihdoin nyt ne 50 kaasarit 60 kaasareihin,pettymys suuri kurkut oli saman kokoisia.Hyvin lähti käymään ja käy hienosti tyhjäkäynti siltä osin kaikki ok.Kyllä ne purettu oli 60 koneesta,mutta onko 84vuonna käyttäneet sitten tätä kokoa?Ainoat erot on suuttimen koossa joka on 50 hv 29 ja tässä 60hv 35.Tää on varmaan pääsuutin niin oletan,sijaitsee kaasarit etupuolella ylhäällä.Kysymys teho varmaan nousee mutta jos ainoat erot on suuttimet ja sytkäennakko niin epäilen tuota 10hv tehon nousua.Vene on siirretty talviteloille joten koeajo siirtyy keväälle.Kommentteja kiitos.Jos jollain ois jäänyt 11 3/4x15 potkuri olisin kiinnostunut ostamaan pois.Siis ihan vaan alumiini.
Juho
 
Viestit: 109
Liittynyt: 04.01.2020 18:14

Re: Evinrude 40 viritystä

ViestiKirjoittaja toni » 26.10.2021 22:04

boats net ja crowleymarinen sivuja vilkaisin ja tuo 35 on 60hv tyhjäkäyntisuutin pääsuuttimesta en löytänyt mitään tietoa. mutta odotetaan asiantuntijan vastausta mielenkiinnolla.ja Michigan Vortex XHS Potkuri 11-3/4 x 15

Michigan Vortex XHS Potkuri 11-3/4 x 15
Tuotenumero: DU108-3-992302
Hinta 87,91 tuollainen löytyy mimoto verkkokaupasta esim
toni
 
Viestit: 288
Liittynyt: 21.08.2019 20:35
Paikkakunta: Kymi

Re: Evinrude 40 viritystä

ViestiKirjoittaja Juho » 26.10.2021 23:52

No niinpä.Tonille kiitos potkuri löytyi helposti.Sitten tämä kaasarit haukkasinko sitä ihteesä.Eli purettu koneesta jossa kilpi E60ELCRE eli vuosimalli 1984. Tilasin fiksaa.fi sivustolta suuttimet nro 9 ja nro19.nro 13 suutinta ei löytynyt tältä sivustolta mutta USAsta löytyi.Eli nää on vaihdettu.No enhän minä muistanut tai tiennyt mikä on tai oli 50 kaasarit kurkun halkaisija vaan nopeesti ostin kun on harvoin tarjolla näitä 60 kaasareita 2pyttyseen.3pyttyseen on tarjontaa romuttamot täynnä.Tai sitten vaihdettu aikanaan tähän 50 kaasarit. Näitten kaasareitten nro on328278 .Keskustelua jos kiinnostaa.....
Juho
 
Viestit: 109
Liittynyt: 04.01.2020 18:14

Re: Evinrude 40 viritystä

ViestiKirjoittaja transom » 28.10.2021 17:28

Hyvä, että joku jaksaa harrastaa, vaikka kelit kylmenee.

Nuo OMC kaasarien numeroinnit menee niin, että kaasuttimen yläosalla (rungolla) on yksi numero ja pohjakupilla toinen. Sen lisäksi pitäisi olla kolmas numero pienessä peltilätkässä. Se kolmas numero on numero, joka oikeasti kertoo kaasuttimen numeron. Tuo sinun antama numero on tuo kaasutinrungon numero. Ylempi ja alempi kaasari on kasattu noista samoista osista, mutta esim tyhjennysruuvin tilalla on toisessa letkunippa. Noita ylä- ja alaosia on käytetty hyvin monissa malleissa ja eri hp lukemille. Eli voi olla ihan oikea kaasari. Katso vaan nuo suuttimien koot kuntoon. Se pääsuutin on se suutin, joka löytyy tyhjennysruuvin/letkuliittimen takaa, se eli #19. Part Number 318684 - ID Number 56D - Orifice Size 0.056 inches - 1/4-20 thread size.
Ihan se sama transom kuin moottorivene.infossa. Valitettavasti.
transom
 
Viestit: 170
Liittynyt: 04.04.2018 00:08

Re: Evinrude 40 viritystä

ViestiKirjoittaja transom » 28.10.2021 17:31

Eli siinä peltilätkässä voisi olla joku noista numeroista:

1983 OMC 50 Hp
393192 — CARB ASSY.,UPPER
393193 — CARB ASSY.,LOWER

1983 OMC 60 Hp
393192 — CARB ASSY.,UPPER
393193 — CARB ASSY.,LOWER

1984 OMC 55 Hp
394456 — CARB ASSY., LOWER
394457 — CARB ASSY., UPPER

1984 OMC 60 Hp
394808 — CARB ASSY., UPPER
394809 — CARB ASSY., LOWER
Ihan se sama transom kuin moottorivene.infossa. Valitettavasti.
transom
 
Viestit: 170
Liittynyt: 04.04.2018 00:08

Re: Evinrude 40 viritystä

ViestiKirjoittaja toni » 28.10.2021 20:04

no juu tosiaan tuossa kohokammion pohjassa on suutinputki. ei kyllä ihan heti olisi tullut mieleen etsiä pääsuutinta tuolta pelkän kuvan nähneenä.
toni
 
Viestit: 288
Liittynyt: 21.08.2019 20:35
Paikkakunta: Kymi

Re: Evinrude 40 viritystä

ViestiKirjoittaja Juho » 28.10.2021 23:28

Huippu kiitokset transomille.Eli tilasin molempiin kaasareihin ne 56 suuttimet eli meni varmaan oikein.Vaihdoin ne kaksi muutakin suutinta ja neulaventtiilit ja tiivisteet.Peltilätkiä en muista oliko niissä enää paikoillaan.On nähtävästi vielä toivoa että teho saattaisi nousta.Oletin että kaasarit kurkku olisi ollut isompi.Tarkastan vielä tuon peltilätkä asian.
Juho
 
Viestit: 109
Liittynyt: 04.01.2020 18:14

Re: Evinrude 40 viritystä

ViestiKirjoittaja transom » 28.10.2021 23:49

Tuo suutin #13 on tyhjäkäynnin "idle" suutin ja #9 säätää tyhjäkäynnin ja keskikierrosten "intermediate" välistä seosta. Sen jälkeen alkaa tuo pääsuutin olla tärkein.

Yksinkertaistetusti #13 ja #9 säätävät koneen ilma/bensaseosta säätämällä ilman määrää ja pääsuutin säätämällä bensan määrää. Eli on hyvä huomata, että noiden "ilma"suuttimien reijän koon pienentäminen rikastaa seosta. Ja bensasuuttimen pienentäminen laihentaa seosta.

Nuo idle ja intermediate suuttimet ovat lähes samat saman iskutilavuuden 50/60hp koneissa. Pääsuutin pitäisi olla isompi.

Eri vuosien malleissa on suuttimissa jonkin verran vaihtelua, vaikka olisi lähes sama kone.

Tuo sytytysennakko oikeasti on varsin merkittävä tehon kannalta. Sillä säädetään millä kampiakselin kulmalla tulee palotapahtuman maksimipaine. Tuo paine ei siis tule sillä hetkellä kun kipinä tapahtuu (ennen yläkuolokohtaa BTDC) vaan palo kestää yläkuolokohdan yli ja paine kasvaa myös maksimiksi yläkuolokohdan jälkeen ATDC. Optimi olisi noin 20 astetta ATDC. Sitä vaan ei kotikonstilla oikein pääse optimoimaan, kun palotapahtuman sylinteripaineen mittalaitteet niihin on huomattavan kalliita. Eli parempi luottaa valmistajan ilmoittamiin säätöarvoihin ja sen jälkeen kokeilla aste - pari astetta molemmin puolin.
Ihan se sama transom kuin moottorivene.infossa. Valitettavasti.
transom
 
Viestit: 170
Liittynyt: 04.04.2018 00:08

Re: Evinrude 40 viritystä

ViestiKirjoittaja Juho » 29.10.2021 23:08

Tietoo tulee tosi nopeesti ja tarkasti.Peltilätkiä ei löytynyt,eli oletan että on 60 moottorista purettu.Yritin etsiä isompia suuttimia ihan hakuammulla niin löytyy jostain kaasariversiosta 57 pääsuuttimet.No kun ensi kevät tulee säädän sytkän siihen 21 asteeseen ja sitten koe ajo.Onko niitä pääsuuttimia monia erilaisia siis 56 , 57, jne.tää on mulle uutta.
Juho
 
Viestit: 109
Liittynyt: 04.01.2020 18:14

Re: Evinrude 40 viritystä

ViestiKirjoittaja toni » 30.10.2021 15:54

ihan uteliaisuuttani kyselen että mitä noiden suutinten millikoot olisivat. sain kyllä tuumina luvut (56-->142.2 ja 57-->144.7 ja 35-->88.9) mutta onko nämä oikein ??
toni
 
Viestit: 288
Liittynyt: 21.08.2019 20:35
Paikkakunta: Kymi

Re: Evinrude 40 viritystä

ViestiKirjoittaja transom » 30.10.2021 16:35

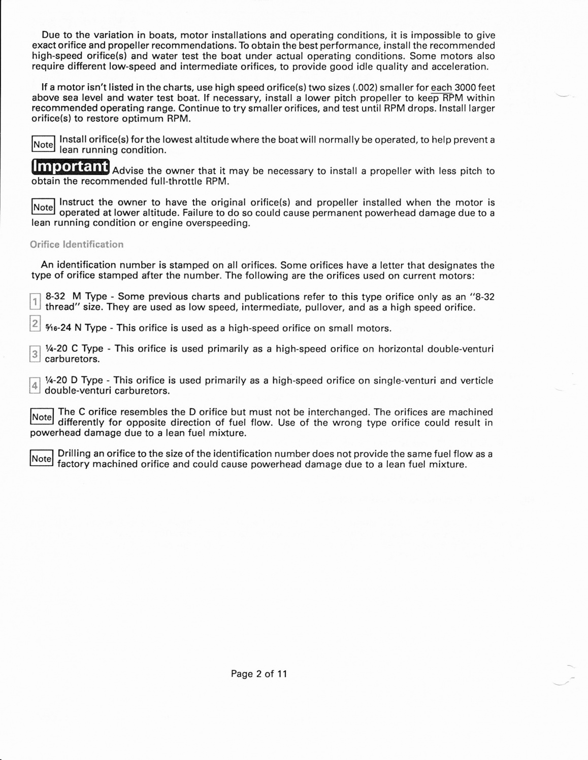
OMC suuttimet menee virtauksen mukaan, mutta yleensä D koon suuttimet ovat tuo numero/1000"+ 0.0055" kokoisia. Eli tuo 56D on 0.056"+0.0055"= 0.0615" = 1.56 mm.

Tuo D suutin on tehty siten, että siinä on reijän lisäksi tietty kartio sisällä. Sen vuoksi itse poraaminen ei ole välttämättä kovin hyvä idea.

Noita on myös C malli. Se ei käy tuohon kaasariin, koska on suunniteltu toisin päin virtaavaan suuntaan.

Kannattaa ottaa myös yhtä kokoa pienempi suutin. Eli kokeilla toimiiko paremmin vähän laihemmalla seoksella. Nykybensa ja öljyt on melkolailla erilaista kuin 1984. Varovasti tietysti laihentaminen. Liian laihalla alkaa palolämmöt nousta liikaa ja alumiini ei mahdottomia kestä.

Oheisissa service bulletin sivuissa on lisää tietoa suuttimista.
Liitteet
b3.jpg
b2.jpg
Ihan se sama transom kuin moottorivene.infossa. Valitettavasti.
transom
 
Viestit: 170
Liittynyt: 04.04.2018 00:08

Re: Evinrude 40 viritystä

ViestiKirjoittaja transom » 30.10.2021 16:45

Ja niitä kyllä löytyy esim kokoina 54D, 55D, 56D, 57D, 58D, jne. Tai ainakin joskus löytyi.
Ihan se sama transom kuin moottorivene.infossa. Valitettavasti.
transom
 
Viestit: 170
Liittynyt: 04.04.2018 00:08

Re: Evinrude 40 viritystä

ViestiKirjoittaja Juho » 30.10.2021 19:43

Kiitokset taas transomille.Mistä kumpuaa toi tietomäärä mikä löytyy evinruden osalta,nostan hattua.Oletko jopa ollut kehittämässä näitä moottoreita?Taas selkeni moni asia.Selain sivustoja niin löytyy suuttimia vieläkin eri kokoja.Tilaan varmaan #55,ja #57 suuttimet jo valmiiksi ensi kevääksi testiä varten.Jäin vielä miettimään että onko sama suutin koko ylä ja alakaasarissa.
Juho
 
Viestit: 109
Liittynyt: 04.01.2020 18:14

Re: Evinrude 40 viritystä

ViestiKirjoittaja toni » 30.10.2021 23:56

kiitokset transomille selvennyksestä suuttimien osalta kun tuo pelkkä numero ei kertonut mistä on kyse kun ei tiennyt että mikä mitta kyseessä. ja milleihin tottuneena kiinnostaa tuo tieto.
toni
 
Viestit: 288
Liittynyt: 21.08.2019 20:35
Paikkakunta: Kymi

Re: Evinrude 40 viritystä

ViestiKirjoittaja transom » 31.10.2021 16:13

Sama koko on vakiona molemmissa kaasareissa.

Aikanaan tullut näiden 70/80-luvun OMC koneiden kanssa toimittua, niin jotain on jäänyt mieleen. Nuo tuon ajan omc koneet on melkein kaikki perusrakenteeltaan samanlaisia, se helpottaa.
Ihan se sama transom kuin moottorivene.infossa. Valitettavasti.
transom
 
Viestit: 170
Liittynyt: 04.04.2018 00:08

Re: Evinrude 40 viritystä

ViestiKirjoittaja Juho » 05.11.2021 21:57

Ja taas kiitokset transomille .Evinrude näköjään tekee eri kokoonpanoja eri suuttimilla.vm81 60 hv on myyty 56d ja 57d suuttimella.Kesää odotellessa pääsen testillä.Transom wedge kiilapalat tuli vastaan jossain foorumissa..Onko kokemuksia.Saattaa olla että kirjoitin väärin....Toivotan hyvää syksyn loppua,ja Rauhallista Joulun odotusta..
Juho
 
Viestit: 109
Liittynyt: 04.01.2020 18:14

Re: Evinrude 40 viritystä

ViestiKirjoittaja toni » 06.11.2021 00:22

ws-veneosa esim. auttaa liukuun lähdössä kun saadaan lisää negatiivista trimmikulmaa ja vasta aallokkoon ajaessa saa keulan halkaisemaan aallon.
Liitteet
Screenshot_20211105-230919.png
toni
 
Viestit: 288
Liittynyt: 21.08.2019 20:35
Paikkakunta: Kymi

Re: Evinrude 40 viritystä

ViestiKirjoittaja Juho » 14.01.2022 22:10

Taas,täällä.Onko kukaan kokeillut tai käyttänyt ainetta nimeltään Evinrude Engine tuner, joku aine mikä putsaa moottorin sisältä ja lupaa kierroksia ja tehoja lisää????Ja heti tuli suuri epäilys.Kommentteja koko Foorumi!
Juho
 
Viestit: 109
Liittynyt: 04.01.2020 18:14

Re: Evinrude 40 viritystä

ViestiKirjoittaja transom » 15.01.2022 14:51

Varmaan tarkoitat sitä suihkepulloa, joka suihkutetaan tyhjäkäynnillä suoraan kaasareiden ilmanottoon, annetaan vaikuttaa tunteja ja sitten taas käyntiin?

Jos moottori on paljon ajettu ja karstainen, niin auttaa, mutta jos melko puhdas, niin ei mitään muutosta. Saa kyllä aina mahtavan savupilven aikaan. Eli ei oikeastaan lisää tehoja, mutta voi palauttaa hävinneitä tehoja.

Aikanaan kanaviston puhdistus oli yksi osa moottorihuoltoja. Monissa koneissa oli irroitettava kotelo, josta pääsi poistamaan karstaa pakopuolelta. Erityisesti 4% koneet, joissa käytettiin bensan kanssa öljyä, joka oli pikemminkin tavallista moottoriöljyä, oli kanavat tukossa. Nykyiset öljyt on ihan eri tasoa.
Ihan se sama transom kuin moottorivene.infossa. Valitettavasti.
transom
 
Viestit: 170
Liittynyt: 04.04.2018 00:08

Re: Evinrude 40 viritystä

ViestiKirjoittaja Juho » 21.01.2022 19:55

No niin,kiitokset tiedosta transomille eli en taida kokeilla tota juttua.Teen työkseni autojen vahauksia ja myös keraamisia pinnoitteita.Jos pinnoitan myös potkurin niin oisko siitä haittaa vai hyötyä.Vesi poistuu pinnotuksen jälkeen auton päältä kuin hanhen selästä.Kommentteja...Moottorin olen kyllä päältä pinnottanut jo kauan sitten,toi potkuri tuli nyt vasta mieleen kun se kävi maalarilla.Propulsella kun ajelin ennen,ja viimekesän Alu potkurilla.
Juho
 
Viestit: 109
Liittynyt: 04.01.2020 18:14

Re: Evinrude 40 viritystä

ViestiKirjoittaja Juho » 21.01.2022 20:09

Meni vähän sanat sekasin eli kun propulsella ajoin ei tarvinnut pinnotusta ajatella potkurin..
Juho
 
Viestit: 109
Liittynyt: 04.01.2020 18:14

Re: Evinrude 40 viritystä

ViestiKirjoittaja transom » 24.01.2022 19:20

Vaikea sanoa onko hyötyä vai ei. Ehkä jollakin on kokemusta.

Kilpapotkureita on kokeiltu sekä täyskiilloitettuina että tasaisella mattapinnalla. Siis teräspotkureita. Molemmille on kannattajansa.

Teoriassa kiiltävä (= erittäin tasainen) pinta aiheuttaa enemmän veden tarttumista (adheesio) siihen sileään pintaan ja mattapinta taas vähentää tätä. Fysikaalisesti sanottuna mattapinnan pintaenergia (yksi materiaalin pinnan perusominaisuus) on pienempi. Pienimmillään, eli kun pintaenergia on nolla, vesipisara muodostuu pintaan täydelliseksi palloksi. Muovien pintaenergia on tyypillisesti pienempi kuin metallien. Aikanaan kilpapurjeveneen pohja kiillotettiin niin kiiltäväksi kuin mahdollista, mutta sitten huomattiin, että vähän epätasainen kulkee nopeammin. Eli voihan olla, että tuo pinnoite vähentäisi kitkaa. Potkurin työntövoima ei tule tuosta kitkasta, se on siis häviö. Puhutaan kyllä varmasti hyvin pienistä eroista.

Kokeile keväällä ensin ilman pinnoitusta ja sen jälkeen pinnoitettuna. Kerro sitten oliko eroa.
Ihan se sama transom kuin moottorivene.infossa. Valitettavasti.
transom
 
Viestit: 170
Liittynyt: 04.04.2018 00:08

Re: Evinrude 40 viritystä

ViestiKirjoittaja Juho » 07.06.2022 20:54

No niin,eka testiajo jäi haaveeksi.Vaihdoin ne 60 kaasarit jo syksyllä ja koe käytin astiassa,kävi hyvin tyhjäkäyntiä ja vene talviteloille.Tänään testiajo tyhjäkäynti ok vaihde päälle kaasua 1500rpm ja sammuu kuin seinään.Uudet bensat on tankissa voiko se tissi kuolla talven aikaan ettei sai bensaa.Kaasarit putsattu syksyllä ja vaihdettu uudet suuttimet ja käytetty bensansäilytys aine viimeisellä käyttökerralla.Bensapumppu rikki...Tarvis neuvoo taas..
Juho
 
Viestit: 109
Liittynyt: 04.01.2020 18:14

Re: Evinrude 40 viritystä

ViestiKirjoittaja Juho » 08.06.2022 09:17

Lisäkysymys voiko ennakon säätö olla tyhjäkäynillä niin pielessä että tekis ton kuoleman kaasua lisättäessä,
Juho
 
Viestit: 109
Liittynyt: 04.01.2020 18:14

EdellinenSeuraava

Paluu Perämoottorit

Paikallaolijat

Käyttäjiä lukemassa tätä aluetta: Ei rekisteröityneitä käyttäjiä ja 1 vierailijaa

cron